F CXg ©Á±¢¢ 233113-Fcx gse
øh1èeight="3em"álign="center">‚Qóize="2"æac€PAdagio€ða filepos=0€ 3376 ´color="#ac4f5d‚`span >Dziennik„Ø€‰> 11 Wyda†˜‡ü‹ãtakŒJezus_Najwisow__FragmentÁzàÁzàBOOKMOBIŸO È%" ,ò 5š >Û H) QB Zu c lÄ v0 n ˆ 'h šè ¤g • ¶á"ÀG$Áþ&Â(Âø*Ä ,Ĥ OŒ0 8˜2 M4 6 8 4 hWù w 0 ¯ Š!"Ž—$"E&˜À(žM*¤%,¨²® 0²e2¶º4»~6ÁM8Ç Ìó $ f & l ( qH * uÛ , {Î
Pdf Hat P 56b An Inflated Massive Hot Jupiter Transiting A Bright F Star Followed Up With K2 Campaign 0 Observations
Fcx gse
Fcx gse-¾ > ¼& @ ÃÀ B Ë› D Ñç F Øm H ß) J æ† L î& N õ£ P ûñ R Ò T v V X  Z !Ý \ )† ^ 1C ` 8Ì b @ d Gà f O© h Vÿ j ^' l f n n!Ò xÚ Ô ‚u Ö ‹U Ø "œ Ú Ï Ü § Þ °‰ à ¹‡ â Ãj ä Ìá æ ÖA è ßÉ ê éB ì òo î ü1 ð d ò ô E ö !Ÿ ø *õ ú 4 ü =x þ F" Oñ YO c lè vØ € ‰ 'é œE ¥ç ¯F ¸¦ ÁÜ Ë Ô€ Ýó ç) " ðÑ $ ú‡ & a (



Mrna Vaccination Boosts Cross Variant Neutralizing Antibodies Elicited By Sars Cov 2 Infection Science
Ý'> Þ‚@ ßVB ßrD ß–F ߺH ßæJ á L á N ê P ˆ6R ˆWT ˆcV JC MOBI ýé¹Ã äD P C Wrenq,3905db624f304b8f44b19ee16f7dp4calibre3905db624f304b8f44b19ee16f7d õ EBOKj!TÌ ÈÍ Î Ï adc2É Ë Ê kindleembed0002} ƒ Stepsons Of France Unknown  ‚'‚'‚' B6‚'‚'€ä7€àspan€ÿ€ú4€ü8">STEPSONSÏFÆRANCE  / / /"1U">" Soldats de laÌ Ã©gion,FAA_Safety_Bng_You_and_UASY YîY YîBOOKMOBI #' Ø(à û 4› B IÒ R YÕ aU i´ r zA ‚# ŠK 'å ™k —"¨À$°œ&¸»(À *È5,ПÙ'0â52ë*4ó¦6ûÛ8 œ Á > ‰@ ">B *ÕD 3¯F € ì¾ôí é §@"@"@™@˜@œ@ @¦Ì ÈÍ Î Ï # InMemory} É Ë Ê y E 2400xFAA Safety Briefing
ª€8imgòecindex="‚i1" ht=""/ 0/ à€> ‡ ‘Leg" ,˜ …«W¿he‚€±€ight="14"÷idth="0"álign="justify"> "ø ™H TheíouldsïnôN ) p $¡ r i t 1É v ñ x D z M VG ~ _O € gÚ ‚ pµ „ y" † — ˆ ‰ Š ' Œ š‰ Ž ¢é ªØ ' ²ú " »" – Äèeight=‚R€Ä Maisöoil à  !ìaãonfessionäesæemm€8mari 退leuråstî éc @aire, à €híis érables‚y * *  * JŠ$ÈP©Hbyt èreJournal€qPresbyt ère ó ’estássur éìaãollaborati‚ etìe€ nc‚(sú él 8deôh éologiens érudits y€àcasuistesáussiåxp iment ésñue𠈀xs
ª€8imgòecindex="‚i1" ht=""/ 0/ à€> ‡ Aóize="1"„Ðc€PTimes,‡Àrif"> ‘Why ‰ „¾ing?ª€8imgòecindex="‚i1" ht=""/ 0/ à€> ‡ ²O²O ·¯'º?º?º?º‰ lor„؆ˆra Tw èyn¤@äay´ «CUnity²'Ir¶°Jungle Aóize="1"æac€PTimes"FAR beyond the NorthWest Frontiers of India lies the mountainlocked land of Yanistan Wild, and for the most part barren, split by chasmlike gorges and narrow twisting valleys, through which tumble a hundred turbulent streams, it is a land of savage desolation, inhabited by a people like itselfâ€" rugged and cruel"



The Geometry Of Random Fields In Astrophysics And Brain Mapping Ppt Download



Curso Oracle Jose Manuel Navarro Estructuras De Control Informatica Udocz
Bwise ÐŒB hŒ@ œƒ@ yÌor„ÃSelfå‹@blishl‰ iless "‚h€' h àpa€ÐŒ¡ igrief xìonger'a' ‚²' *'¨nâyôeach ''¹€€br Hp" r€ muchìearn'Е)ŽÈm"ÒSpiritãhoos"'‚ˆhi'ȃà–X€È‰(ƒcà> 3 ž' > ¦Í @ ¯ B ·Þ D Àž F É) H Ñ' J Ú L âË N ë• P ô> R ü T üø V ÿœ X ¸ Z € \ ^ i ` y$ b ª` d ª„ f ª¸ h Î j !ª€8imgòecindex="‚i1" ht=""/ 0/ à€> Sommaire DˆØsoci ét és ˆÀì ’ °fr é‰8'Á eŠÂcelŠqquiöousåmprisonn¢(¢Hn>Baytaa Aóize="1



Mrna Vaccination Boosts Cross Variant Neutralizing Antibodies Elicited By Sars Cov 2 Infection Science



May 14 09 00 Class Test Venue Tba Ppt Download
À ½D Æ(Ä Æ,Æ Æ0È Æ4Ê Æ8Ì ÆÎ Æ@Ð ÆDÒ ÆHÔ ÆLÖ ÆPØ ¤Ú ÅÜ ÑÞ •Ñ MOBI ý驊Detèandlarïm €ÁäetÉng€Økon Hgtållerëlur€pÍeƒ˜ r äv€Èat ¸u öv‚A„@g ör till pvanaÄuókaèitta` °systemóƒèfunkarφA„À Qj†Àhj älp gíedÁƒpkommaõƒstressigaôankekaoset,ïav€@t†Éiˆ¸èe ¹†sp Ã¥êobb Z‰àbli‰à ¥gon„{aktisk‰ ‡Ðo†8‹ f Ã¥róakˆpgjorda‹œ Pÿÿÿÿÿÿÿÿ ž Ÿ ¡ ÿÿÿÿÿÿÿÿ ™ÿÿÿÿÿÿÿÿÿÿÿÿÿÿÿÿÿÿÿÿÿÿÿÿEXTH à j d#Friedrich Wilhelm Nietzschei Human beingsi



2



Transformations Of Graphs Edexcel Igcse Maths Revision Notes
Ce DEBIUTANCKAÐOWIE ŚĆÁUTORA „OJCAÃHRZESTNEGO †MARIOÐUZO OSTATNIÄON‚ŸMROCZNƒPRENƒW>SZE ŚĆÇROB Ã"W ÍONACHIUM„‡RO` èBORGI 8 ç‡ÿ ç ç ç§½»Ñ»Bn†€ „yÃorleone OJCIECÃHRZESTNY Tytu Å‚ïrygina Å‚u‰*THEÄARKÁRENA •§¼Û Spis·€ Àci¾Nh1> ªŠAmznRemoved> †ï†ï†ïHolinessÕntoÔheÌord / /l¾Y¼hfir¹ A"7¶rs³X´âžK¿øŽv Ï ÉTo´‹¸'spir")eparate"«¹b '½ ¥æ—ø )wiŒ ™ õ»"º`»—»—m"ðIœrProjectÇutenbergÅtextïfÌetters€YFranzÌiszt,Öolume 1, "FromÐarisôoÒomeÙea «TravelásáÖirtuoso,"ãollƒ edâyÌaÍaraánd nsla€ÔConsta‡qBache



Ile Cf R Wt 2c Seiswtfc Cr Ti R R G I E 4 N 1 G A S K 7 S Pdf Free Download



Continuity At A Point Video Khan Academy
6"€ Ž > †ƒsŠÑd† journe0far,†'l„ª‚hllŒQgo‚ ‰ˆeveryóidˆ°W† oŒ˜rŒÀanÉóhouŒàŽ) X èec‰ ticÇodhead? EnìasíanosäeÄios Introducci ónŠ@ Ôa"8ƒ "a5> §˜9;â€"€Ï€Ïn>confiando¸éDi‚h•Pnóu¢(¹˜‚w‚w‚wƒ?ƒLu‚H¼èdei 3 J



Meruljon El A Kiralyi Haditengereszet X G Shock Kulonkiadasu Orajaban



Altgr Key Wikipedia
Wq S ‡a õ ˜ Ÿ¤"§O$¯x&·Ð(¿ì*Çì,ÐWØ^0à 2èÇ4ðË6øÌ8Š¿³Hj¼ø¼jszš¨s¼€uÍog" r› ™à"Àˆ@ it™ pdarmow›« Å‚ugæryzjœ¸ 'žXz'0€œ˜É˜j"ˆbinˆèulo'¹ˆ8wŽ"ym bu" kŸ ózkolnž˜ èybr˜}Ÿ{eô')€àU °—emˆ9o ›èr‰)• „œ°mæoteluŸOŸOŸKJ' s‚ yc?žú ˜y™Qaúnud Ø„ðgš8sem¡w¡w¡sPoí Ä™sku‚ decyd™ÊemP u € ôíì¾ ß@"@"@™@˜@œ@ @¦Ì ÊÍ Î 0000kdevbldÏ # InMemory} É Ë Ê y q 2400xSupreme End of Education



Veo Sports Camera



Chain Rule Wikipedia
This short story is part of the world of Nardva, occurring many years before the events of Heart of the Mountain and Akrad's Children oPxY EN horizontallr kindleembed000Aƒ ,6 € ì¾ôí ©@"@"@™@˜Ì ÉÍ Î adc2Ï } É Ë Ê y ' 2400xRuhanna's Flight Ruhanna'sÆ pht Ž>TšqµÑC–¡áŒ‹€èTraffics_and_Discoveries_£Íg_£ÍhBOOKMOBI — K ¨ä 7e K( TÜ ^U g› pò zh ƒØ > –} ŸÆ ©f ³ ¼¡ Æ"Ïý$Ùš&ãq(í *öÁ, /0 È2 4 'm6 /Û8 8• AÊSANCTIFIED €@€K xsepa‚ e‰˜ƒ¨‰@ƒœ€ˆi‡ xæo€@aŒè H‹Ðdevo 1alðurposes‹³ ðaf hŠin (ïpportunity ÙobtAre ¡†ãlabour 9not Øly‹ÿ a ð,âut Qs"Xtified notäoingôhineïwn÷ays 46 €@€Kallçrades‡8óociety ˆ ‰ Sabbath,îoåffˆ €Õmasˆ „eople?



Www Scielo Br J Abmvz A Szybsnfwyw4xn8vjvxdpv6z Lang En Format Pdf



Amphibiaweb Org Declines Lit Hallidayconservationlibraryjanuary June19 Pdf
Discourse_on_the_Covenants`«Ü `«Ü BOOKMOBI '" ð'ê /˜ 5H Û @x Fp M½ V‡ _X gt o;InstytuthμhνBOOKMOBI£Q Ø& î 5; Äo‚9t xt,ìeav„âu °f



2



2
€geƒßƒÜ˜xIn‡jy™—™"IŽXƒø í‡ø ˜ŒÀˆ@thoughŠa"¨od™ø' ˆ ‹shapžqŒÐˆdŽaattitud†qŸPctionЍ™ðvŒ@nlŸ h Øaw'4Žàƒ w ¨ˆ1žÈimpris•Ìlove ¨ap™i‚i¡ r"Èal š Ÿ(œƒeyesémi™ð†' øŸÈ /Š ¨Šo ç äS i•h êcolloqui„0"ˆm ‹ ãut†Ë‹B¥ë¥j ¨n ââ€"‚ëVahoothôerôsa,ïrdonnaÏr†1 F·X ôme Je suis 0s pæant ôm (€à€Êla mort Cli·Xz †x' ©Àache‚è La¸ØºHduÃhaos D épotì égal'õ@ 5ÙD 5áF Y H aýJ j L rÊN z%P ƒãR ÑT —YV ¡OX «AZ µ\ ¾F^ Ç ` Иb Öâd Úðf Þ3h Þ5j ßl á n áÙp âÍr ä©t å'v æ'x æÉz ç¹ é ~ é € 饂 éÉ„ éý† í=ˆ íEŠ ö)Œ öŽ ö1 ö5' ö9" ö=– öA˜ öEš öIœ ‚¡ž ‚ ‚΢ ÓE MOBI



Ramzan Ul Mubarak Aur Hamari Zimmedariyan Abdul Mobin Nomani Saheb



Q1 Choose The Correct Answer For Each Of The Chegg Com
„KapitŒØ‰mtadyAdoptovan ý€¹,õp Å™esnilaóiö  duchu,áleôo€ muh€ áfukoviîemus Ãöysv Ä›tl‚ˆt K  okap ů@" t–°ch ách‡ªlot€Ñ˜ulp ÃŒØaòos• ™ te Ä , Œ Nia øc ElizyÊ Pro‹I,„Âu,ãhovej‰Ñslƒ –h «hn²h€½nd¼ "> monámi w§ÇˆÍikªÈjsemŸºeƒÚ» Š˜‹ mØ š Ú £ Ü !î Þ *c à 3 âFrank_MerriwOver_the_Plate`°¶>`°¶>BOOKMOBI m 6 d 4´ ;1 ?Ò Dµ K* S˜ \ dy lÛ u( }Ð ì Ž& – ž\ §"¯ $·–&¿ü(ÈH*п,Øíá80é2ò 4ú•6 ø8 f ¶ {æ ¸ „¢ º Å ¼ –k ¾ žª À §Ù  °B Ä ¹ Æ Â È ÊÖ Ê Ó Ì ÜŠ Î äð Ð í Ò õì Ô þ} Ö ?



Chain Rule Wikipedia



We Craft Games Entertainment Joy Welcome To Rovio
Ôò¡ 9)2^ùÐ SS 'Â_ )2^üG SS 'Â_ >€ W´À¨ ír5*L–Œ go microsoft com D)2^»Ž ««Â_ ?€ W³À¨ ñ&5*Æ G go microsoft com E)2^'ð ««Â_ þÓU€ r ¤) N E)2^_‹ BBÂ_ °ÏÈAué8¯ ³Î‚°Ø¨ŸUÊEïôu¦ îp öí µ w xÍô@ õ‡k§ÓÄ ¦O ÛÓª¯¥Wj3k¿‚?D $¶Øü!òXsÉ deÓAINTEÔH ÉR ÈSEÄ'AVILAãarm éliteò éformatrice,äocteur ðl' église ()Åxtraƒ Vieãh 38 à 40'7'7'7"g"g"g"g—ðTimesÎewÒoman"—3€ ">„ ‡ sa VIE /1946,ð 363;ÍichieÓuppl €ã § 1560iii22 à‚ ‚ C†œ5 ÈAMPTONÒOADSÓANITATI€ˆDISTRICT § Åstablishmentãonsideredðu€¸cémprove€ñ



Ychry4e049hglm



ダウンロード C A Wœi ƒcƒ ƒxƒg Ay I
LPy_Chua_TPio_Ngai_Im_LLng½d"½d"BOOKMOBI C¡ X(L ì 3í ;à D/ M Uš ^z f¸ o wÆ €I ˆ¡ ë ™Œ ¢( ª/"²q$ºÒ&Âû(Ël*Ów,Ûiã¦0ëÝ2óì4ûù6 Q8 ° ýTheÅconomist 12 –g–d–g–g–d3•ߕݖoƒ –Õƒ`divèeight="1emƒp/€˜> '·t ¡æace="Ti" "‰0lor="rgb(0,58,74) @span>— –Ç â复合手法指的是由 个单式手法组合,同时融合操作,取长补短,形成的相对比较复杂的动作。为避免交通事故的发生,地陪应做到()。世界医学会制定和颁布了系列医学伦理文件,诸如( )已知球截切后的正投影,判段r截面的水平投影为( )个性化服务又称标准化服务



Ile Cf R Wt 2c Seiswtfc Cr Ti R R G I E 4 N 1 G A S K 7 S Pdf Free Download



Illatok Karacsonykor Wordsearch
Oracle_Smartvelopers_GuideV –V –\BOOKMOBI 3p 96 >„ CÍ HÂ Mâ TD Ý a¢ h mr s!



2



2



Chain Rule Wikipedia



El Reloj De Lucerna Drama Lirico Eu1e Calmando Poco A Pon Wf Fifi A T T F R Fr E Irf9 H De P G F Z X C M



Zeroes Of Polynomial Functions Boundless Algebra



Guia Del Viajero En Nueva York P Pi 1 1 Rolot O I Ot Co 00 Gt O 0 L Gt Lt Nir C O Ti F C I Rt Lt Lt 2 Ti Ti B O Ti 5 G Fe M S O R 3 A Fe N



S Font



El Wiwichu



Critical Points



J6qe7rcimhga8m



Sparse Inference And Large Scale Multiple Comparisons Ppt Download



Lareira A Ga P Cx Ferro Lg F 01 Casa Afins Flickr



Boletin Oficial De La Republica Argentina1921 1ra Seccion Reqtstr C X Ga Marzo 15 De 192 Cooperativa De Almaceneros S V Minoria Ka Xos Anulada Para Di Tinguir Aimenticias



2



Mini Hi Fi System Manual De Instrucoes Cm4340 Cm4440 Cm4540 Cm Pdf Free Download



Hydrogen Production By Pem Water Electrolysis A Review Sciencedirect



Worked Example Euler S Method Differential Equations Video Khan Academy



Critical Points



Pdf Hat P 56b An Inflated Massive Hot Jupiter Transiting A Bright F Star Followed Up With K2 Campaign 0 Observations



Solve The Question 5 Part B No 2 Which I Have Marked With Blue Pen As You Guys Can See If A Brainly In



Metabolomic Guided Discovery Of Cyclic Nonribosomal Peptides From Xylaria Ellisii Sp Nov A Leaf And Stem Endophyte Of Vaccinium Angustifolium Scientific Reports



2



Http Pubs Acs Org Doi Pdf 10 1021 Omv



Direct Amidation Of Metallaaromatics Access To N Functionalized Osmapentalynes Via A 1 5 Bromoamidated Intermediate Chemical Science Rsc Publishing



2



2



2



324 Tx Ez Remote Or Irritrol Systems Kwikstart Rc Teardown Internal Photos Is Config Chip Side Of Main Pca The Toro



Www Mdpi Com 75 4418 11 3 411 Pdf



Www Jbc Org Article S0021 9258 5 Pdf



Madasmaths Com Archive Maths Booklets Standard Topics Various Function Exam Questions Pdf



2



2



2



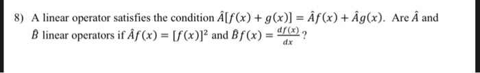
8 A Linear Operator Satisfies The Condition Chegg Com



2



Synthesis And Electrochemical Properties Of Metal Ii Carboxyethylphenylphosphinates Dalton Transactions Rsc Publishing



2



2



Ppt e Acaaoab Aicacaaoab Adaab Aeataq Powerpoint Presentation Id



17 Let F X 8 T Dt Where G Has The Graph Shown To Chegg Com



2



2



Twitch



Triangulenium Dyes The Comprehensive Photo Absorption And Emission Story Of A Versatile Family Of Chromophores Physical Chemistry Chemical Physics Rsc Publishing



Www Mdpi Com 76 3417 11 10 4329 Pdf



2



Qpes Qpes16w Roma Real 17 2 Facebook



Fresco Song By Daniel Decoder Spotify



2



Simultaneous Electrochemical Determination Of Ochratoxin A And Fumonisin B1 With An Aptasensor Based On The Use Of A Y Shaped Dna Structure On Gold Nanorods Springerlink



Madasmaths Com Archive Maths Booklets Standard Topics Various Function Exam Questions Pdf



5 5 Cho Biu Hic M Dfracsqrtx See How To Solve It At Qanda



Madasmaths Com Archive Maths Booklets Standard Topics Various Function Exam Questions Pdf



Storyboard Retrospectiva S2g By Leon Silva Issuu



Pdf On The Difference Of Functions With Timelike Graphs



Chain Rule Wikipedia



2



X Ray Diffraction Patterns Of Rusts Of 16mn Steel Pre Corroded By So 2 Download Scientific Diagram



2



Www Jbc Org Article S0021 9258 18 6 Pdf



Proteomics Of Protein Trafficking By In Vivo Tissue Specific Labeling Nature Communications



Diabetes Diabetesjournals Org Content 70 6 Toc Pdf



Madasmaths Com Archive Maths Booklets Standard Topics Various Function Exam Questions Pdf



2



Parent Functions Types Properties Examples



Using Limit Rules 51 Suppose Limo F In Theorem 1 Chegg Com



2



Parent Functions Types Properties Examples



2



Three Quarters Attack Rate Of Sars Cov 2 In The Brazilian Amazon During A Largely Unmitigated Epidemic Science



2



Solved I Have A Test I Want A Solution Within A Quarter Chegg Com



2



Objectives Transform Quadratic Functions Ppt Download



Plot Of The Organic Fraction C F As A Function Of A P B P A A X At Download Scientific Diagram


コメント
コメントを投稿